Analog Testboard E149377


DAC Plots

  • Test Point V vs. DAC: Linearity
    • Left, full range; right, zoomed at low values (to show DAC turn on)
    • Fit boundary points are chosen by hand to indicate bounds of linear behavior
TODO

  • Test Point V vs. DAC: Nonlinearity
    • Left, differential (percentage of current pulse height); right, integral (percentage of max pulse height)
    • Fit boundary points are consistent with linearity plots above
TODO
    • With restricted y-axis (to show nonlinearity only over linear operating range):

Pedestal Plots

  Low Gain High Gain
COLUTA1/ADC1 hist_pedestal_ADC1_Channel1_1x.png hist_pedestal_ADC1_Channel2_1x.png
COLUTA2/ADC2 hist_pedestal_ADC2_Channel2_1x.png hist_pedestal_ADC2_Channel1_1x.png
DRE 4x Mode
Low Gain High Gain
COLUTA1/ADC1 hist_pedestal_ADC1_Channel1_4x.png hist_pedestal_ADC1_Channel2_4x.png
COLUTA2/ADC2 hist_pedestal_ADC2_Channel2_4x.png hist_pedestal_ADC2_Channel1_4x.png

Pulse Plots

Plot Description LAUROC1 Low Gain LAUROC1 High Gain LAUROC2 Low Gain LAUROC2 High Gain
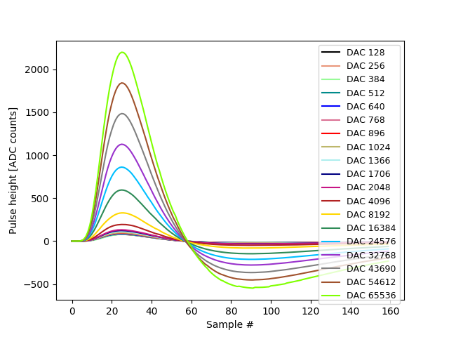
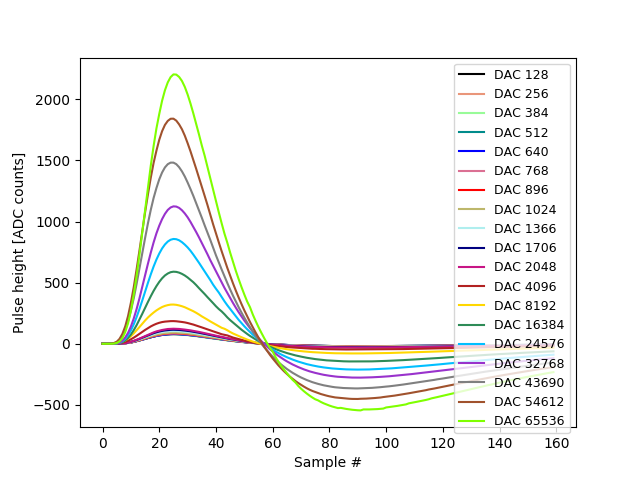
Overlayed pulses, to compare shape across amplitudes (HG cut off at 2048 due to saturation) pulse_overlay_lg.png pulse_overlay_hg.png pulse_overlay_Co2_lg.png pulse_overlay_Co2_hg.png
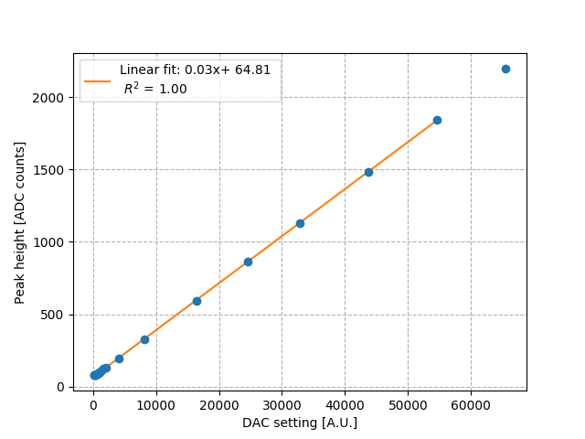
Linearity (Pulse height [ADC counts] vs. DAC value) low_gain_with_fit.png high_gain_with_fit.png low_gain_with_fit_Co2.png high_gain_with_fit_Co2.png
Nonlinearity of pulse height to DAC (differential) Nonlinearity_percent_differential_low_gain.png Nonlinearity_percent_differential_high_gain.png Nonlinearity_percent_differential_low_gain_Co2.png Nonlinearity_percent_differential_high_gain_Co2.png
Nonlinearity of pulse height to DAC (integral) Nonlinearity_percent_integral_low_gain.png Nonlinearity_percent_integral_high_gain.png Nonlinearity_percent_integral_low_gain_Co2.png Nonlinearity_percent_integral_high_gain_Co2.png

  • Gain Plots (deriving gain ratio & comparing LG to HG)
COLUTA1

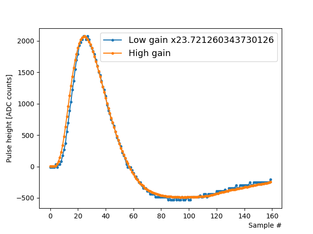
pulse_HGLG_Amp896.pnglow_high_gain_vs_amps.pnglow_high_gain_vs_amps_zoom.png

COLUTA2

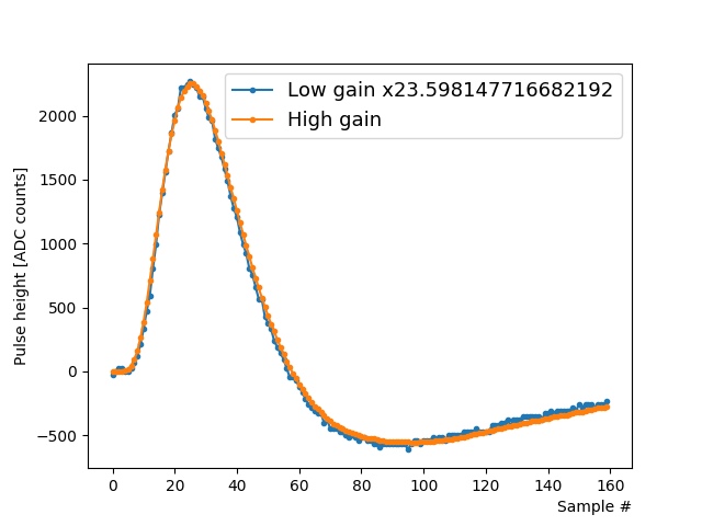
pulse_HGLG_Co2_Amp896.pnglow_high_gain_vs_amps_Co2.pnglow_high_gain_vs_amps_Co2_zoom.png

OFC Plots

Plot Description LAUROC1 Low Gain LAUROC1 High Gain LAUROC2 Low Gain LAUROC2 High Gain
Energy Resolution of large, unsaturated pulse E_OFC_max_ADC1_Channel1_phase4_1x.png E_OFC_max_ADC1_Channel2_phase4_1x.png E_OFC_max_ADC2_Channel2_phase4_1x.png E_OFC_max_ADC2_Channel1_phase4_1x.png
E from OFCs (in ADC counts) vs Pulse Height (in ADC counts) E_Reco_ADC1_Channel1_1x.png E_Reco_ADC1_Channel2_1x.png E_Reco_ADC2_Channel2_1x.png E_Reco_ADC2_Channel1_1x.png
Timing Resolution of OFCs that sample at peak Hist_timing_ADC1_Channel1_phase4_1x.png Hist_timing_ADC1_Channel2_phase4_1x.png Hist_timing_ADC2_Channel2_phase4_1x.png Hist_timing_ADC2_Channel1_phase4_1x.png
Timing Resolution using out of phase OFCs Hist_T_Offset_ADC1_Channel1_1x.png Hist_T_Offset_ADC1_Channel2_1x.png Hist_T_Offset_ADC2_Channel2_1x.png Hist_T_Offset_ADC2_Channel1_1x.png

Comments


%COMMENT%
I Attachment Action Size Date Who Comment
E_OFC_max_ADC1_Channel1_phase4_1x.pngpng E_OFC_max_ADC1_Channel1_phase4_1x.png manage 31 K 03 Oct 2019 - 20:34 DanielWilliams  
E_OFC_max_ADC1_Channel2_phase4_1x.pngpng E_OFC_max_ADC1_Channel2_phase4_1x.png manage 32 K 03 Oct 2019 - 20:36 DanielWilliams  
E_OFC_max_ADC2_Channel1_phase4_1x.pngpng E_OFC_max_ADC2_Channel1_phase4_1x.png manage 21 K 08 Oct 2019 - 19:35 DanielWilliams  
E_OFC_max_ADC2_Channel2_phase4_1x.pngpng E_OFC_max_ADC2_Channel2_phase4_1x.png manage 21 K 08 Oct 2019 - 19:35 DanielWilliams  
E_Reco_ADC1_Channel1_1x.pngpng E_Reco_ADC1_Channel1_1x.png manage 47 K 03 Oct 2019 - 20:34 DanielWilliams  
E_Reco_ADC1_Channel2_1x.pngpng E_Reco_ADC1_Channel2_1x.png manage 49 K 03 Oct 2019 - 20:36 DanielWilliams  
E_Reco_ADC2_Channel1_1x.pngpng E_Reco_ADC2_Channel1_1x.png manage 31 K 08 Oct 2019 - 19:35 DanielWilliams  
E_Reco_ADC2_Channel2_1x.pngpng E_Reco_ADC2_Channel2_1x.png manage 27 K 08 Oct 2019 - 19:35 DanielWilliams  
Hist_T_Offset_ADC1_Channel1_1x.pngpng Hist_T_Offset_ADC1_Channel1_1x.png manage 33 K 03 Oct 2019 - 20:34 DanielWilliams  
Hist_T_Offset_ADC1_Channel2_1x.pngpng Hist_T_Offset_ADC1_Channel2_1x.png manage 32 K 03 Oct 2019 - 20:36 DanielWilliams  
Hist_T_Offset_ADC2_Channel1_1x.pngpng Hist_T_Offset_ADC2_Channel1_1x.png manage 20 K 08 Oct 2019 - 19:35 DanielWilliams  
Hist_T_Offset_ADC2_Channel2_1x.pngpng Hist_T_Offset_ADC2_Channel2_1x.png manage 21 K 08 Oct 2019 - 19:35 DanielWilliams  
Hist_timing_ADC1_Channel1_phase4_1x.pngpng Hist_timing_ADC1_Channel1_phase4_1x.png manage 32 K 03 Oct 2019 - 20:34 DanielWilliams  
Hist_timing_ADC1_Channel2_phase4_1x.pngpng Hist_timing_ADC1_Channel2_phase4_1x.png manage 32 K 03 Oct 2019 - 20:36 DanielWilliams  
Hist_timing_ADC2_Channel1_phase4_1x.pngpng Hist_timing_ADC2_Channel1_phase4_1x.png manage 19 K 08 Oct 2019 - 19:35 DanielWilliams  
Hist_timing_ADC2_Channel2_phase4_1x.pngpng Hist_timing_ADC2_Channel2_phase4_1x.png manage 19 K 08 Oct 2019 - 19:35 DanielWilliams  
Nonlinearity_percent_differential_high_gain.pngpng Nonlinearity_percent_differential_high_gain.png manage 30 K 03 Oct 2019 - 20:38 DanielWilliams  
Nonlinearity_percent_differential_high_gain_Co2.pngpng Nonlinearity_percent_differential_high_gain_Co2.png manage 32 K 08 Oct 2019 - 19:24 DanielWilliams  
Nonlinearity_percent_differential_low_gain.pngpng Nonlinearity_percent_differential_low_gain.png manage 31 K 03 Oct 2019 - 20:38 DanielWilliams  
Nonlinearity_percent_differential_low_gain_Co2.pngpng Nonlinearity_percent_differential_low_gain_Co2.png manage 29 K 08 Oct 2019 - 19:24 DanielWilliams  
Nonlinearity_percent_integral_high_gain.pngpng Nonlinearity_percent_integral_high_gain.png manage 31 K 03 Oct 2019 - 20:38 DanielWilliams  
Nonlinearity_percent_integral_high_gain_Co2.pngpng Nonlinearity_percent_integral_high_gain_Co2.png manage 31 K 08 Oct 2019 - 19:24 DanielWilliams  
Nonlinearity_percent_integral_low_gain.pngpng Nonlinearity_percent_integral_low_gain.png manage 32 K 03 Oct 2019 - 20:38 DanielWilliams  
Nonlinearity_percent_integral_low_gain_Co2.pngpng Nonlinearity_percent_integral_low_gain_Co2.png manage 31 K 08 Oct 2019 - 19:24 DanielWilliams  
high_gain_with_fit.pngpng high_gain_with_fit.png manage 34 K 03 Oct 2019 - 20:38 DanielWilliams  
high_gain_with_fit_Co2.pngpng high_gain_with_fit_Co2.png manage 34 K 08 Oct 2019 - 19:24 DanielWilliams  
hist_pedestal_ADC1_Channel1.pngpng hist_pedestal_ADC1_Channel1.png manage 29 K 07 Oct 2019 - 19:29 DanielWilliams  
hist_pedestal_ADC1_Channel1_1x.pngpng hist_pedestal_ADC1_Channel1_1x.png manage 29 K 08 Oct 2019 - 20:40 DanielWilliams  
hist_pedestal_ADC1_Channel1_4x.pngpng hist_pedestal_ADC1_Channel1_4x.png manage 29 K 07 Oct 2019 - 19:31 DanielWilliams  
hist_pedestal_ADC1_Channel2.pngpng hist_pedestal_ADC1_Channel2.png manage 26 K 07 Oct 2019 - 19:29 DanielWilliams  
hist_pedestal_ADC1_Channel2_1x.pngpng hist_pedestal_ADC1_Channel2_1x.png manage 26 K 08 Oct 2019 - 20:40 DanielWilliams  
hist_pedestal_ADC1_Channel2_4x.pngpng hist_pedestal_ADC1_Channel2_4x.png manage 26 K 07 Oct 2019 - 19:31 DanielWilliams  
hist_pedestal_ADC2_Channel1.pngpng hist_pedestal_ADC2_Channel1.png manage 28 K 07 Oct 2019 - 19:29 DanielWilliams  
hist_pedestal_ADC2_Channel1_1x.pngpng hist_pedestal_ADC2_Channel1_1x.png manage 27 K 08 Oct 2019 - 20:40 DanielWilliams  
hist_pedestal_ADC2_Channel1_4x.pngpng hist_pedestal_ADC2_Channel1_4x.png manage 28 K 07 Oct 2019 - 19:31 DanielWilliams  
hist_pedestal_ADC2_Channel2.pngpng hist_pedestal_ADC2_Channel2.png manage 29 K 07 Oct 2019 - 19:29 DanielWilliams  
hist_pedestal_ADC2_Channel2_1x.pngpng hist_pedestal_ADC2_Channel2_1x.png manage 29 K 08 Oct 2019 - 20:40 DanielWilliams  
hist_pedestal_ADC2_Channel2_4x.pngpng hist_pedestal_ADC2_Channel2_4x.png manage 29 K 07 Oct 2019 - 19:31 DanielWilliams  
low_gain_with_fit.pngpng low_gain_with_fit.png manage 34 K 03 Oct 2019 - 20:38 DanielWilliams  
low_gain_with_fit_Co2.pngpng low_gain_with_fit_Co2.png manage 34 K 08 Oct 2019 - 19:24 DanielWilliams  
low_high_gain_vs_amps.pngpng low_high_gain_vs_amps.png manage 37 K 03 Oct 2019 - 20:43 DanielWilliams  
low_high_gain_vs_amps_Co2.pngpng low_high_gain_vs_amps_Co2.png manage 37 K 08 Oct 2019 - 19:24 DanielWilliams  
low_high_gain_vs_amps_Co2_zoom.pngpng low_high_gain_vs_amps_Co2_zoom.png manage 35 K 08 Oct 2019 - 19:24 DanielWilliams  
low_high_gain_vs_amps_zoom.pngpng low_high_gain_vs_amps_zoom.png manage 36 K 03 Oct 2019 - 20:43 DanielWilliams  
pulse_HGLG_Amp896.pngpng pulse_HGLG_Amp896.png manage 37 K 03 Oct 2019 - 20:43 DanielWilliams  
pulse_HGLG_Co2_Amp896.pngpng pulse_HGLG_Co2_Amp896.png manage 37 K 08 Oct 2019 - 19:24 DanielWilliams  
pulse_overlay_Co2_hg.pngpng pulse_overlay_Co2_hg.png manage 62 K 08 Oct 2019 - 19:24 DanielWilliams  
pulse_overlay_Co2_lg.pngpng pulse_overlay_Co2_lg.png manage 80 K 08 Oct 2019 - 19:24 DanielWilliams  
pulse_overlay_hg.pngpng pulse_overlay_hg.png manage 67 K 03 Oct 2019 - 20:38 DanielWilliams  
pulse_overlay_lg.pngpng pulse_overlay_lg.png manage 81 K 03 Oct 2019 - 20:38 DanielWilliams  
Topic revision: r5 - 08 Oct 2019, DanielWilliams
This site is powered by FoswikiCopyright © by the contributing authors. All material on this collaboration platform is the property of the contributing authors.
Ideas, requests, problems regarding Foswiki? Send feedback